【記者李寶琴.陳宣良/蘇澳報導】
清明連假首日竟發生太魯閣號事故慘劇,由於傷亡慘重震驚國內外,國人同胞無不深感同悲,行政院今(3)日起更降半旗3天用示哀悼;本網彙整各方資料,揭露罹難者名單以供親朋方便查核。

台鐵太魯閣號不幸罹難者,名單如下:


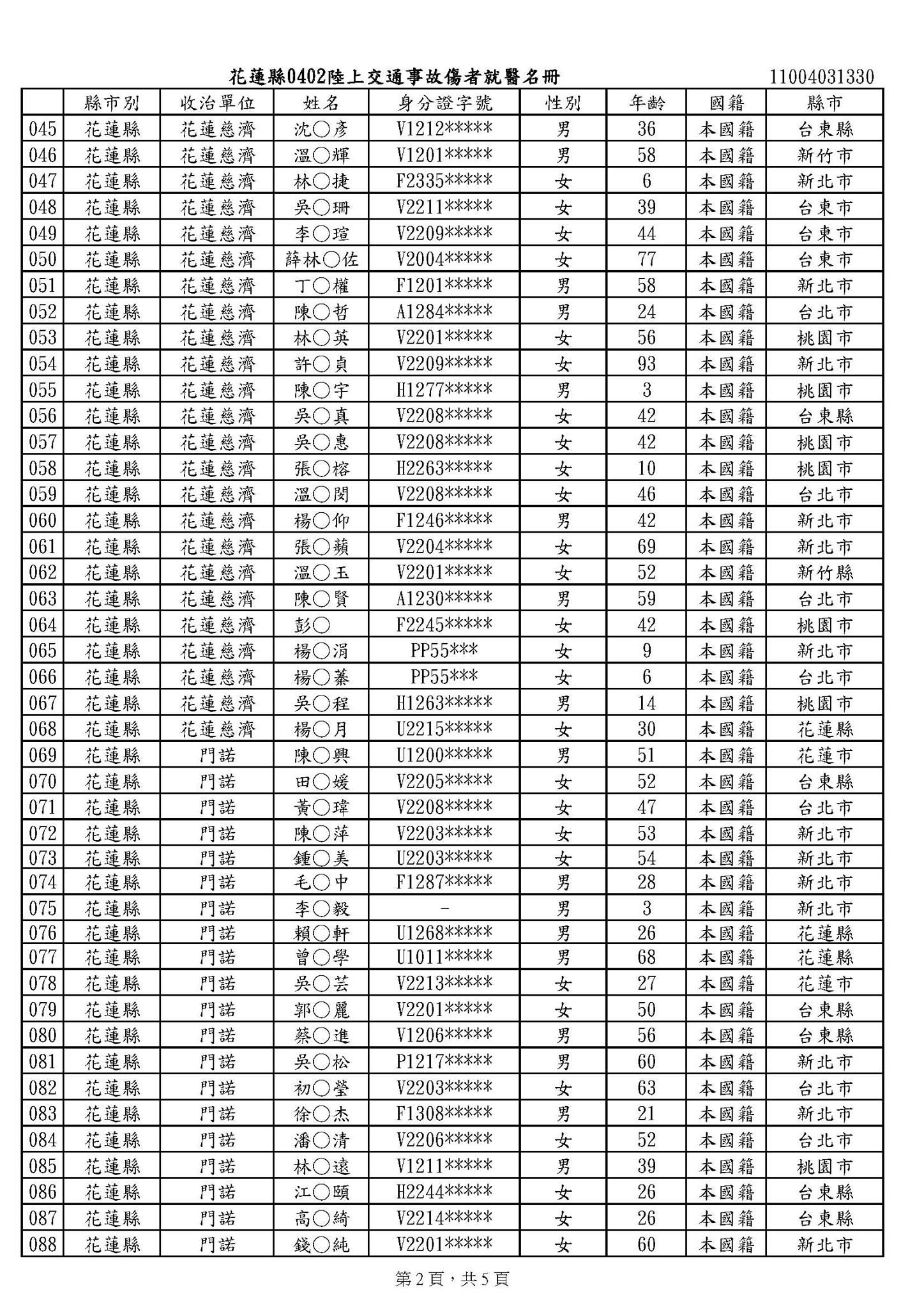
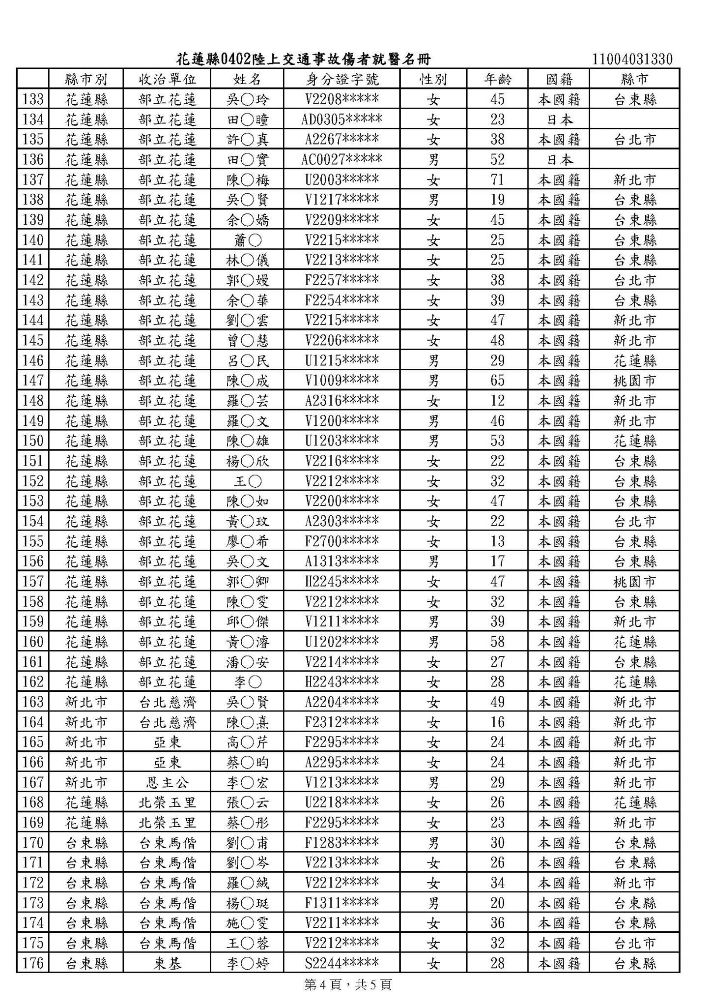
此外,台鐵 408 次太魯閣號事故發生後,各縣市都展現大愛齊來協助救援,在救人第一與時間賽跑情況下,因而傷患分散各地不同醫療院所進行急救診治,造成第一時間究竟傷患是被送至哪一個醫療院所之訊息錯亂,讓傷患家屬急得四處奔走。
茲,根據各救援單位彙整,太魯閣號事故收治醫療院所之傷患名單如下:




由於此次不幸意外旅客,大多為返鄉清明掃墓民眾,不若一般旅遊團有事前報名建置名單,以致尚有部分旅客身分資料尚難正確辨認;若有任何疑問,請向下列單位查詢:

花蓮縣政府表示, 因應0402台鐵事故災害應變中心,後續協助聯絡電話如下:
(一)家屬如需瞭解傷者目前情形,請撥打受傷人員後送詢問專線 03-8567632。
(二)家屬如需詢問罹難者情形,請撥打詢問專線 03-8354008(花蓮分局勤指中心)
另,吉安鄉公所亦表示,為提供408太魯閣號交通事故後需求協助,提供鄉親社會關懷與罹難者殯葬服務,公所團隊於清明連假期間仍輪值進駐留守,有需求鄉親可於早上八點至下午五點半,利用服務專線03-8535871或親洽該公所諮詢。
衛生福利部表示:
一起為死傷者祈福,感謝第一線人員,關心彼此的心理健康!
不論是傷患、家屬、身邊的朋友、第一線救災人員、醫護人員、目擊者、甚至是你我等等,都有可能因為災難後而產生心理上的恐懼;這條路可能很長,除了需要身邊人的關心、陪伴、傾聽,若有需要,請一定要使用以下資源。
衛福部 1925 安心專線
提供 24 小時免費心理諮詢服務,感到焦慮、難受,都可以撥打。
衛福部 1957 福利諮詢專線
任何生活協助、急難紓困及社會福利諮詢等需求,都可以撥打。
衛生福利部並指出:
當面臨災難或是不好的事情發生,有情緒是一定的,也是正常的,千萬別因此自責,身邊的人都很願意幫助、陪伴、傾聽你,我們彼此關心、陪伴,世界一定會變得更加溫柔。
一起溫柔地接住這些情緒,分享這些資源給需要的人;我們,都要平安健康。